문제
다음 소스는 N번째 피보나치 수를 구하는 C++ 함수이다.
| 1 2 3 4 5 6 7 8 9 10 11 |
int fibonacci(int n) { if (n == 0) { printf("0"); return 0; } else if (n == 1) { printf("1"); return 1; } else { return fibonacci(n‐1) + fibonacci(n‐2); } } |
fibonacci(3)을 호출하면 다음과 같은 일이 일어난다.
- fibonacci(3)은 fibonacci(2)와 fibonacci(1) (첫 번째 호출)을 호출한다.
- fibonacci(2)는 fibonacci(1) (두 번째 호출)과 fibonacci(0)을 호출한다.
- 두 번째 호출한 fibonacci(1)은 1을 출력하고 1을 리턴한다.
- fibonacci(0)은 0을 출력하고, 0을 리턴한다.
- fibonacci(2)는 fibonacci(1)과 fibonacci(0)의 결과를 얻고, 1을 리턴한다.
- 첫 번째 호출한 fibonacci(1)은 1을 출력하고, 1을 리턴한다.
- fibonacci(3)은 fibonacci(2)와 fibonacci(1)의 결과를 얻고, 2를 리턴한다.
1은 2번 출력되고, 0은 1번 출력된다. N이 주어졌을 때, fibonacci(N)을 호출했을 때, 0과 1이 각각 몇 번 출력되는지 구하는 프로그램을 작성하시오.
입력
첫째 줄에 테스트 케이스의 개수 T가 주어진다.
각 테스트 케이스는 한 줄로 이루어져 있고, N이 주어진다. N은 40보다 작거나 같은 자연수 또는 0이다.
출력
각 테스트 케이스마다 0이 출력되는 횟수와 1이 출력되는 횟수를 공백으로 구분해서 출력한다.
예제 입력 1
3
0
1
3
예제 출력 1
1 0
0 1
1 2
소스코드
#include <iostream>
#include <vector>
using namespace std;
int main() {
int t, n;
int dp[41][2]={0, }; //피보나치 값들을 저장할 dp 배열을 만든다.
//dp[n][0]: n의 0 출력 개수
//dp[n][1]: n의 1 출력 개수
cin>>t;
for(int i=0;i<t;i++) {
cin>>n;
dp[0][0]=1; dp[1][1]=1; //0의 0 출력 개수는 1, 1의 1 출력 개수는 1로 초기화한다.
for(int i=2;i<=n;i++) {
dp[i][0]=dp[i-1][0]+dp[i-2][0]; //앞의 두 개의 0의 출력 개수의 합이 i번째 수의 0의 출력 개수가 된다.
dp[i][1]=dp[i-1][1]+dp[i-2][1]; //앞의 두 개의 1의 출력 개수의 합이 i번째 수의 1의 출력 개수가 된다.
}
cout<<dp[n][0]<<" "<<dp[n][1]<<endl;
}
return 0;
}
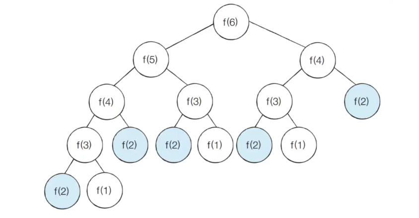
피보나치 수열을 계산하는 방법에는 크게 2가지가 있다.
1. 재귀를 이용
-단순하지만 지수 시간 복잡도를 가지게 되므로 시간 초과가 나기 쉽다.(O(2^N))
-중복 호출의 문제가 있다. 예를 들어 f(6)을 구하는 경우, f(2)가 여러 번 호출되는 것을 확인할 수 있다.

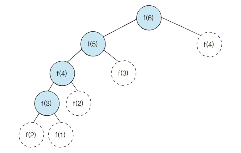
2. 다이나믹 프로그래밍(DP)을 이용
-하향식(Top-down): 같은 문제를 다시 호출하면 저장되어 있는 결과를 그대로 가져오는 '메모이제이션' 기법을 이용하는 방법이다.
아래 그림은 메모이제이션을 이용할 경우 실제 호출되는 함수를 나타낸 것이다. 이 경우 피보나치 수열 함수의 시간 복잡도는 O(N)이다.

-상향식(Bottom-up): 문제를 더 작은 문제로 쪼개어 해결한 값을 저장하고, 저장된 값을 이용하여 더 큰 문제를 해결하는 방법이다. 앞서 계산된 결과를 저장하고, 반복문을 이용하여 원하는 값을 찾는다.
재귀 함수를 이용할 경우에는 시간 복잡도가 커서 시간 초과가 나기 쉬우므로, 다이나믹 프로그래밍을 이용하여 문제를 해결하였다.
'코딩테스트 > Baekjoon Online Judge' 카테고리의 다른 글
| [백준] 1074번 Z (0) | 2021.07.01 |
|---|---|
| [백준] 1260번 유기농 배추 (0) | 2021.07.01 |
| [백준] 1654번 랜선 자르기 (0) | 2021.06.29 |
| [백준] 2164번 카드2 (0) | 2021.06.29 |
| [백준] 2798번 블랙잭 (0) | 2021.06.29 |